| VADEMECUM REMER |
| Matemáticas. Conceptos y reglas |
Expresiones, fracciones y operaciones algebraicas
Expresión algebraica
El conocimiento de los conceptos y reglas matemáticas elementales que son necesarias, como base, para poder realizar cálculos y comprender los fenómenos asociados a otras ramas de la ciencia.
| Expresiones, fracciones y operaciones algebraicas |
| Expresión algebraica |
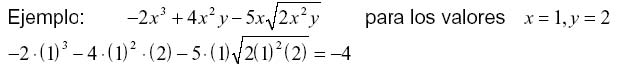
Conjunto de números y letras sometidos a operaciones aritméticas de adición, sustracción, multiplicación, división, radicación y potenciación.
Las letras expresan números sin concretar su valor. Si se sustituyen las letras por números y se opera, se obtiene el valor numérico.

| Clasificación general |
Racionales: Ninguna letra sometida a radicación.
![]()
Racionales Enteras: Ninguna letra en el denominador.

Racionales Fraccionarias: Alguna letra en el denominador.
Irracionales: Alguna letra sometida a la operación de radicación.
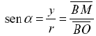
| Monomio |
Expresión algebraica donde números y letras únicamente están ligados por la multiplicación:
| Polinomio |
Toda expresión algebraica formada por sumas y restas de varios monomios que denominaremos “términos”.
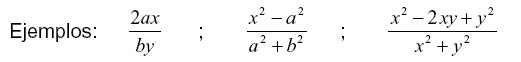
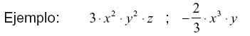
| Fracción |
Es el cociente indicado de dos expresiones algebraicas, donde al dividendo se le denomina numerador y al divisor se le denomina denominador.

NOTA: El valor numérico se obtiene dividiendo los valores numéricos del numerador y denominador, siempre que éste no sea nulo.
| Suma y diferencia |
Se suman todos los monomios. Si hay términos semejantes se reducen, sumando los coeficientes y conservando la parte literal. Si hay términos opuestos se anulan.
La resta consiste en sumar, habiendo cambiado previamente de signo los términos del sustraendo.
![]()
| Producto |
Lo haremos en tres pasos:
Producto de dos o más monomios
Es otro monomio tal que:
Producto de monomio por polinomio
Es otro polinomio cuyos términos son la suma de los productos del monomio por cada uno de los términos del polinomio.
Producto de polinomios
Es otro polinomio cuyos términos son los productos de cada término de uno de ellos por todos los términos del otro.
| Productos notables |
Son de utilización muy común y se suelen conocer de memoria.
| División |
Lo haremos en tres pasos:
División entre dos monomios
Se dividen los coeficientes, luego se agrupan las bases y se restan los exponentes.
División de polinomio por monomio
Se divide cada uno de los términos del polinomio por el monomio.
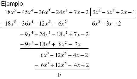
División de polinomios
Siendo D(x), dividendo y d(x) el divisor, es la operación que tiene por objeto hallar otro polinomio denominador cociente c(x), de tal modo que se verifique que D(x) = d(x)·c(x) + r(x) siendo r(x) otro polinomio resto, cuyo grado es menor que el grado del divisor.
| Ecuaciones de primer y segundo gardo algebraicas |
| Ecuación |
Es una igualdad literal en la que sus dos miembros solamente toman valores numéricos iguales, al ser sustituidas sus letras, llamadas incógnitas por determinados valores particulares.
| Propiedades |
Primera
Si a los dos miembros de una ecuación se les suma o resta un mismo número o una misma expresión algebraica, se obtiene una ecuación que es equivalente a la primera.

Segunda
Si los dos miembros de una ecuación se multiplican o dividen por un mismo número, distinto de cero, se obtiene una ecuación equivalente a la primera.

| Ecuación de primer grado |
Es toda ecuación de la forma ax+b=0, donde se observa que sólo hay una incógnita y que el máximo grado de ésta es uno. La resolución de toda ecuación de primer grado consiste en aplicar las propiedades anteriormente indicadas hasta reducirla a esta forma y despejar la incógnita.

Discusión
En general la solución es:
![]()
Entonces las posibles soluciones dependen de los valores de a y b. Hay cuatro posibilidades:

Problema
Calcular el diámetro de las dos poleas de la figura.

| Ecuación de segundo grado |
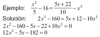
También llamada cuadrática, es una ecuación con una incógnita que después de preparada queda de la forma:
ax2 + bx +c = 0 donde a b y c, son números racionales, siendo a siempre positivo.
Preparar
Efectuar las operaciones indicadas, quitar denominadores, pasar todos los términos al primer miembro, reducir términos semejantes e igualar a cero.

Resolución Completa
Cuando tiene términos en todos los grados: ax2+ bx +c = 0.
En caso contrario se denomina incompleta en el término que falta.
Se demuestra que la solución o soluciones, también denominadas raíces, se obtienen con la fórmula general:
Discusión de las soluciones
La clave para la discusión de las posibles soluciones está en el valor que tome la expresión que está bajo la raíz, llamada discriminante.
Discriminante → la expresión contenida bajo el signo de radicar: b2 – 4ac
| Funciones y coordenadas. Representación |
| Función |
Es el conjunto de pares de valores que pueden tomar dos variables x e y, de modo que tomado uno cualquiera de los posibles valores de x (variable independiente), podemos determinar el valor de y (variable dependiente) que le corresponde.
Las funciones explícitas se pueden clasificar según la naturaleza de la expresión que figura en el segundo miembro.

Ecuación de la función es la expresión matemática de la relación entre las dos variables.
| Ejes coordenados |
O ejes cartesianos (Descartes siglo XVII), es un sistema de representación plano, formado por dos ejes perpendiculares.
El punto donde se cruzan se denomina origen de coordenadas y corresponde al valor cero en los dos ejes.
| Coordenadas |
Un punto cualquiera del plano A se puede fijar como una distancia x sobre el eje horizontal (abcisa) y otra distancia sobre el eje vertical (ordenada). A este par de valores se denomina coordenadas de A y se expresa A(x,y) o simplemente (x,y).

| Representación gráfica de funciones |
Haciendo corresponder los posibles valores de la variable independiente con puntos sobre el eje horizontal y sus correspondientes valores de la variable dependiente con puntos sobres el eje vertical, obtenemos un conjunto de puntos (pares de valores) que pueden corresponder precisamente a una función.
| La recta |
Precisamente la representación gráfica de una función cuya expresión sea un polinomio de primer grado es una recta. Ejemplo: y = 2x + 3 El conjunto de pares de valores será:

| Funciones cuadráticas |
Son aquellas cuya ecuación es del tipo: y=ax2 + bx + c donde a ≠ 0.
Ejemplo: y = x2 función cuadrática incompleta en b y c el conjunto de pares de valores será:
![]()
La gráfica es una parábola

Ejemplo. y=x2 – 2x – 3 función cuadrática completa. El conjunto de pares de valores será:

| Aplicaciones |
En Física aparece frecuentemente la función de segundo grado o cuadrática:
| Logaritmo |
| Función exponencial |
Es toda función de la forma y=bx, en la que b > 0 y está perfectamente definida para todo valor real de la variable independiente X.
Observar que los valores de Y serán siempre positivos:
x = 0 Ö y=b0=1
x = 1Ö y = b b > 1Ö creciente > 0 b < 1Ö decreciente > 0 b = 1Ö 1
Ejemplo: y=3x


| El logaritmo como inverso de la potencia |
Si tomamos la expresión de la función exponencial y suponemos que ahora se trata de calcular el valor del exponente x, conocida la base b y la potencia y, tendremos la operación de logaritmación.
Logaritmo en base b de un número y. Es el exponente al que hay que elevar la base para obtener el número propuesto.
logb y = x Û y = bX
b tiene que ser > 0 y distinto de 1
| Función logarítmica |
y = logb x
De lo dicho hasta ahora se deduce que tal función verifica:
La representación gráfica es:
| Propiedades generales de los logaritmos |
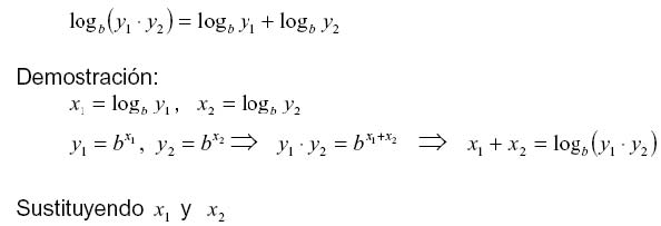
1. El logaritmo de un producto es igual a la suma de logaritmos de los factores.

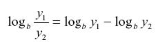
2. El logaritmo de un cociente es igual a la diferencia entre el logaritmo del dividendo y el logaritmo del divisor.
![]()
3. El logaritmo de una potencia es igual al producto de su exponente por el logaritmo de la base de dicha potencia.
![]()
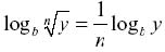
4. El logaritmo de una raíz es igual al cociente de dividir el logaritmo del radicando por el índice de dicha raíz.
![]()
| Logaritmos decimales |
Es el más empleado y se denomina así porque su base es 10. Al ser el logaritmo por excelencia, no se suele poner la base, quedando la notación:
x = log y Û y = 10x

Si el número no es una potencia exacta de 10, tendrá:
NOTA: Los logaritmos decimales de números menores que la unidad, y por tanto negativos, se expresan siempre de forma que su mantisa sea positiva y su Característica negativa.
Ejemplo: Si el logaritmo de N fuera -3,1834 -3,1834 = -3 - 0,1834 (ambas negativas) -3 - 0,1834 = (-3 -1) + (1- 0,1834) = -4 + 0,8166 log N = - 4,8166
| Razones trigonométricas y resolución de triángulos |
| Arcos y ángulos |
A la vista de la figura, podemos decir que:

| Medida de los ángulos |
Hay dos formas de expresar la medida de un ángulo:
| Ángulos |
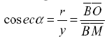
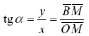
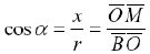
| Razones trigonométricas de un ángulo |
Sea el ángulo AOB, cuya medida es α. Si colocamos un sistema de coordenadas cartesianas cuyo origen sea el centro de la circunferencia, podemos hacer las siguientes definiciones:


El signo dependerá del que tenga la correspondiente abscisa y ordenada, según se refleja en el siguiente cuadro:

| Líneas trigonométricas |
Si aplicamos todo lo anterior a un ángulo, considerando el arco cuyo radio es la unidad, las razones reciben en este caso particular el nombre de líneas trigonométricas.

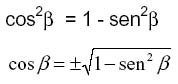
| Relaciones fundamentales |
| Aplicaciones |
Fundamentalmente sirven para calcular todas las razones trigonométricas a partir de una dada. Esto, en definitiva, significa que podemos poner cualquier razón trigonométrica en función de otra dada.
Ejemplo con el seno: Si consideramos el sen β

el signo dependerá del cuadrante.

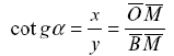
| Resolución de triángulos rectángulos |
Usaremos la notación de la figura, donde a los lados se nombra a, b, y c y a los ángulos opuestos a dichos lados A, B y C respectivamente.

Haciendo coincidir el radio con la longitud de la hipotenusa a, tendremos:
sen C = c/a ; cos C = b/a ; tg C = c/b
Con todo esto, se puede resolver un triángulo rectángulo siempre que se conozca:
Ejemplo: Resolver un caso en el que se conoce un cateto y un ángulo agudo

| Vectores y números complejos |
| Números complejos |
Cuando se trata de extraer raíces de índice par de números negativos, tales como
se ve que no existe ningún número real, positivo ni negativo, cuyo cuadrado sea negativo. Esto fue lo que llevó a la creación de los números complejos.
En realidad todo se resume a la resolución de
puesto que:

Unidad imaginaria
Ésta es pues la que denominaremos unidad imaginaria y que designaremos con la letra i. Se cumple por tanto que:

Nuestro anterior problema quedaría como:

La combinación de una parte real y una parte imaginaria es lo que se denomina número complejo
a + bi
siendo a la parte real y b la parte imaginaria.
Comparaciones
Dos números complejos pueden ser entre sí:


Representación gráfica
Este tipo de números se adapta perfectamente a un sistema de representación plano como pueden ser unos ejes cartesianos. Al eje de abscisas X se le llamará Eje real y al eje de ordenadas Y se le llamará Eje imaginario.

Afijo
Según esto, todo complejo viene representado por un punto del plano y uno sólo que se denomina imagen o afijo del número.
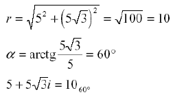
Módulo y argumento
Como todo punto del plano unido con el origen, determina una recta OP, deducimos que entre las rectas libres OP (vectores como después veremos) y los números complejos, existe igualmente correspondencia biunívoca. Podemos decir por tanto que:
Forma trigonométrica

Forma polar

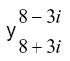
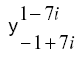
Ejemplo: Calcular módulo y argumento de 

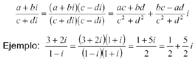
Suma
Consiste en sumar separadamente las partes reales y las partes imaginarias.
Ejemplo: (5 – 3i) + (7 + 2i) = 12 - i
La suma de dos números complejos opuestos es cero.
Ejemplo: (2 – 3i) + (-2 + 3i) = 0
La suma de dos complejos conjugados es un número real.
Ejemplo: ( ) ( ) 3 5 3 56 + + - = i i .
Producto
El producto de dos números complejos se efectúa como binomios de primer grado en y, teniendo en cuenta que i2 = -1
Ejemplo: (3 – 2i)·(1 + 3i) = 3 + 9i – 2i + 6 = 9 + 7i
El producto de dos números complejos en forma polar es otro número complejo, cuyo módulo es igual al producto de los módulos de los factores y, el argumento, la suma de los argumentos.
Ejemplo: 327º · 563º = 1590º
División
Para dividir dos números complejos se multiplican numerador y denominador por el conjugado del denominador, para eliminar el factor i del denominador.

En forma polar, el cociente es otro complejo cuyo módulo es el cociente de sus módulos y el argumento la diferencia de argumentos del dividendo y del divisor.

| Vectores |
Se llama vector al conjunto de un número real positivo, que es su módulo y una dirección orientada en el espacio. Un vector está contenido en una recta soporte sobre la que tiene un origen y un extremo. Además tiene un sentido normalmente indicado con una flecha.
Los vectores pueden ser:
Observar que un número complejo se corresponde biunívocamente con un vector fijo sobre el origen de coordenadas.
Producto de un vector por un escalar
El producto de un vector
por un número entero n, es otro vector de la misma dirección de
, de módulo n veces el de
y sentido igual o contrario, según n sea positivo ó negativo.
Producto escalar de dos vectores
Dados los vectores
y
que forman entre sí un ángulo α, se llama producto escalar o interno de ambos, al número que resulta de multiplicar sus módulos por el coseno de dicho ángulo.

Dicho de otra manera, el producto escalar de dos vectores es igual al producto del módulo de uno de ellos por la proyección del otro sobre él.
Producto vectorial de dos vectores
Se llama producto vectorial de los vectores
y
a otro vector
que tiene las siguientes
características:

NOTA: No es una operación conmutativa, pues alterar el orden de los factores cambia el sentido.

| Rectas, planos y superficie esférica |
| Superficie plana |
Es un concepto intuitivo que nace de la observación de los cuerpos que nos rodean. Matemáticamente se puede concretar más con una serie de axiomas o postulados:
| Propiedades |

| Recta y plano |
De una recta y un plano en el espacio se puede decir:
| Planos entre sí |
Dos o más planos en el espacio sólo pueden ser paralelos o en caso contrario se cortan formando diedros, triedros o poliedros.
| Ángulo diedro |
Se denomina ángulo diedro, a cada una de las partes en que queda dividido el espacio por dos semiplanos que se cortan, en la recta común que las limita.

| Ángulo poliedro |
Es la porción del espacio limitado por cada dos semirrectas consecutivas y concurrentes en un vértice común de tal forma que tres de ellas consecutivas no estén en un mismo plano.
| La esfera |
Es el lugar geométrico de los puntos del espacio que equidistan de otro interior llamado centro.
| Posición relativa de una recta |
Una recta puede tener tres posiciones relativas respecto de una esfera, según los puntos de contacto con ella.
| Figuras esféricas |
La mayoría de ellas provienen de la intersección de uno o más planos con la superficie esférica. El corte de un plano con la esfera, es siempre un círculo y de entre ellos hay que destacar el:
Otras figuras producidas por intersección de planos son:



Una figura que no proviene de intersección con planos es:

Área de la superficie esférica
El área de una superficie esférica equivale a la de cuatro círculos máximos.
A = 4πr2
Volumen de la esfera

| Red Radio de Emergencia - R E M E R - | DGPCE |